シルバーガンウエポンデータ
ここではシルバーガンの各種武器について細かく紹介していきます。ウエポンボーナスの取得にあたってどれが効率がよいのか?データを参考に考えてみてください。
まず、最初に言葉の定義を挙げておきます。
WB効率 : ウエポンボーナスを1回取るために必要なダメージ総量。同じレベルのBウエポンを基準に相対的に表す。WB効率(対B)が80%だと同じレベルのBでウエポンボーナスを取る場合の80%のダメージで取得できることを意味する。
得点効率 : 基準体力の敵相手にどれだけの得点を取ることができるかを表す。この場合、得点とはウエポンボーナスと撃ちこみ点の総和。同じレベルのBウエポンを基準に相対的に表す。WB効率の逆数に(1万+撃ちこみ点)/13000点をかけたもの。13000点とはBウエポンでウエポンボーナスを取得するときの撃ちこみ点(3000点)とウエポンボーナス(10000点)の和である。安直にいえば高いほどよい。
A [バルカン]
普通にプレイしているとき一番使われるのがこのAショット。威力も高く、連射力もあり前方攻撃の要です。レベルが上がれば補助弾もついてさらに強くなります。このAショットは意外にもかなりウエポンボーナスの効率がよいことはあまり知られていません。
まず、基本性能ですが、連射速度は秒間10連です。ウエポンボーナスは200発(補助弾こみ)ヒットすると取得できます。また、画面外にショットが逃げるとウエポンボーナスのカウントはリセットされるので注意が必要です。補助弾が逃げてもカウントはリセットされるのでレベルが上がると稼げる場所が限定されてしまうのが難点でしょうか。
撃ちこみ点は弾1発につき一律10点。ウエポンボーナス取得までには2000点入ります。Bウエポンがウエポンボーナス取得までに3000点ですから、対Bウエポンの得点効率は12/13となります。
| 威力 | 単発 | 200+20×Lv |
| メイン | 100+10×Lv | |
| サブ | 50+5×Lv |
単発ショットはノーマルショットの2倍の威力があります。中央の2本のメインショットに比べて周囲のサブショットの威力は半分となっています。これが曲者で、レベルが上がりサブショットが多くなるとウエポンの効率が上がっていくのです。
| Lv | 補助弾 | 第二 補助弾 |
平均発射 弾数 |
ダメージ | WB効率 (対B) |
得点効率 (対B) |
所要時間 (sec) |
| 0〜 2 | −−− | −−− | 2.00 | 100.0% | 111.1% | 83.1% | 10.0 |
| 3〜 4 | 4回に1発 | −−− | 2.50 | 90.0% | 100.0% | 92.3% | 8.0 |
| 5〜 6 | 3回に1発 | −−− | 2.67 | 87.5% | 97.2% | 95.0% | 7.5 |
| 7〜 8 | 2回に1発 | −−− | 3.00 | 83.3% | 92.6% | 99.7% | 6.7 |
| 9〜11 | 毎回 | −−− | 4.00 | 75.0% | 83.3% | 110.1% | 5.0 |
| 12〜14 | 毎回 | 4回に1発 | 4.50 | 72.2% | 80.2% | 115.1% | 4.4 |
| 15〜17 | 毎回 | 3回に1発 | 4.67 | 71.4% | 79.4% | 116.3% | 4.3 |
| 18〜20 | 毎回 | 2回に1発 | 5.00 | 70.0% | 77.8% | 118.6% | 4.0 |
| 21〜 | 毎回 | 毎回 | 6.00 | 66.7% | 74.1% | 124.6% | 3.3 |
補助弾(サブショット)の付き方は表の通りです。ダメージの欄のパーセンテージはショット全体のダメージが基本値(Lv0で100)に対して平均どれぐらいの割合になるか計算したものです。また、平均発射弾数はショット1発に発射される弾の数の平均です。
Lv10の場合、基本値は 100+10×Lv = 200 です。そして、平均4.00発の弾が発射されるのでショット1発あたり 200×4.00 = 800 の威力があることになります。ですが、実際には補助弾の威力が半分なのでショット全体の威力は 800×0.75 = 600 のダメージとなるわけです。
ウエポンボーナスは200発ヒットですから、補助弾が増えてショット1発あたりの平均威力が落ちてくると効率がアップしていきます。表を見ればわかる通り、Lv9あたりからは得点効率がよくなります。Bウエポンより1割以上得点がアップするというのは特筆すべき点でしょう。ただし、Lv12以降では第二補助弾がつくためウエポンボーナスカウントを持続させるのは困難となります。
B [ホーミング]
まずはずれないホーミング。そのため、意識すればウエポンボーナスのカウントを途切れさせることはなくなります。計算しやすいため、Bのウエポンボーナスの効率を基準にしてほかの武器のウエポンボーナス効率を計算しています。
基本攻撃力は60。通常の連射速度は7.5発/秒です。手で連射しただけでも発射数が上がるのが確認できると思います。よって連射ボタンがあるとかなり使える武器になるのです。ウエポンボーナスは300発のヒットによって取得できます。画面外に弾が逃げた場合はリセットされます。
| 威力 | 60+6×Lv |
| WB所得所有時間 | 20.0秒 |
| WB所得必要ダメージ | 18000+1800×Lv |
WB所得所有時間は押しっぱなしの場合の連射速度で算出しています。したがって連射装置を用いるとより早くWBを得ることができます。
C [スプレッド]
威力もそこそこ、横方向への攻撃手段としても活躍しますが、なによりWB(ウエポンボーナス)を稼ぐのに活躍する武器です。
基本攻撃力は20/フレーム。ウエポンボーナスは16発の直撃となっていて、ボタンを離して爆発させたり、画面外へ弾が逃げるとカウントがリセットされます。中型機などに密着して、目押しで破壊するまえに直撃で3セット撃ちこむなどすれば効率よくウエポンボーナスが稼げます。
目押しとは、1発目のCが当たってから2発目がでるまでにCを押しなおすことで押しっぱなしのときよりも早く2発目を撃つこと。これにより、普通だと2発しか当てられない敵に無理やり3発当てたりできるわけです。
| 威力 | (20+2×Lv)/フレーム |
撃ちこみ点は直撃で50点、爆風が1フレーム1点です。Lv0の場合、左右の弾1セットで撃ちこみ点が190点。ウエポンボーナス取得のためには8セットひつようですから190×5で1520点となります。低い撃ちこみ点にもかかわらず、それなりの得点効率を誇るのでうまく活用したいところです。
| Lv | トータルダメージ | WB効率(対B) | 得点効率(対B) |
| 0 | 800 | 71.1% | 124.6% |
| 10 | 1700 | 75.6% | 118.0% |
| 20 | 2640 | 78.2% | 115.7% |
| 30 | 3640 | 80.9% | 111.8% |
トータルダメージは爆風ひとつが直撃して消えるまでのダメージの総量です。実際のところ、ボス戦などで狙う場合、複数のパーツに爆風が当たると効率がすごく下がってしまうのでなんともいえません。単パーツに当てれるなら狙いにいくのもいいでしょう。ですが、やはり威力を発揮するのは雑魚に当てる場合と目押しで無理やり中型機などに当てる場合でしょうか。
AB [プラズマレーザー]
地形を貫通するレーザー。ウエポンボーナスを稼ぐ上では非常に重要な武器です。ですが、パーツなどが込み入ったところではカウントが切れやすいのが難点です。
基本攻撃力は16〜30/フレーム。威力は6〜8フレーム毎に1づつ上がっていきます。ウエポンボーナスは600フレーム攻撃を当てることで取得できます。左右のレーザーは別にカウントされるので両方同時にあてればより早くウエポンボーナスを得られます。ロックしているときに他の標的がレーザーを横切り、そちらにロックが移るとカウントがリセットされます。したがって、雑魚やパーツなどが込み入ったところでは使わないほうが無難でしょう。
レベルについてですが、BのレベルがそのままABの展開範囲に影響します。ですが、威力はあくまでAとBの平均レベルを基本にきまります。平均レベルに端数が出る場合もそのまま計算されます。
攻撃力は攻撃の開始すぐでは最大攻撃力の55%ぐらいなので威力が上がる前に攻撃を止め、再び攻撃して威力の弱いところだけ当てつづける…という方法でより多くのウエポンボーナスを取ることができます。これを一般に「ABの弱火」といいます。
| 最大攻撃力 | 30+3×Lv | |
| 最小攻撃力 | 最大攻撃力の約55% | |
| 攻撃力の増加速度 | 1/10フレーム 6/秒 |
|
| WB効率(対B) | 最大威力時 | 100.0% |
| 最小威力時 | 約55.0% | |
| 得点効率(対B) | 威力100% | 86.2% |
| 威力86.2% | 100.0% | |
| 威力55% | 156.6% | |
撃ちこみ点は1フレーム2点で、ウエポンボーナス取得までには1200点です。低い撃ちこみ点ですが弱火でのダメージの少なさがこれをカバーし、高い得点率を誇ります。威力が86.2%以上ではBよりも得点効率は落ちてしまいます。
ではどのぐらいが86.2%の威力か?といわれても良くわかりません^^; ただ、威力は最大になるまで線形にあがったとすると、最大になるまでの半分ぐらいの時間でも80%未満ということになります。中火ぐらいまでは得点効率は100%以上あるといっていいでしょう。
BC [ロックオンレーザー]
全方向貫通で威力もそこそこ。パーツの多いボス戦では非常に重宝します。また、ボーナスキャラを出すのに必須ですね。
基本威力は10/フレームなのですが、実際にはこの2倍の20/フレームのダメージを与えます。爆風が消えかかるころには20/フレーム・10/フレーム・0/フレームで変動します。攻撃力は爆風のみにあります。
最大同時ロック数はLv0で4発、以後、Cのレベルが5上がる毎に1発づつ増えていきます。ロックオン範囲はBのレベルで決定されます。威力はBとCの平均レベルで決まります。
ウエポンボーナスは900フレーム爆風がヒットすると取得できます。他の武器に変えるとカウントがリセットされます。又、同時押しボタンを使用していない場合、BCを離して再びBCを押すその間に瞬間的にAだけ、もしくはBだけが押されている状態になるとカウントはリセットされるので、同時押しボタンがない場合はボタンを離さないようにしたほうが無難でしょう。同時に複数の爆風がヒットしている場合はそれだけ早くウエポンが取得できます。
| Lv | フレーム数 | トータル ダメージ |
平均ダメージ | WB効率 (対B) |
得点効率 (対B) |
| 0〜 4 | 47 | 800+80×Lv | 17.02×(1+Lv/10) | 85.1% | 106.7% |
| 5〜 9 | 48 | 820+82×Lv | 17.08×(1+Lv/10) | 85.4% | 106.3% |
| 10〜14 | 49 | 830+83×Lv | 16.94×(1+Lv/10) | 84.7% | 107.1% |
| 15〜19 | 50 | 850+85×Lv | 17.00×(1+Lv/10) | 85.0% | 106.8% |
| 20〜24 | 51 | 860+86×Lv | 16.86×(1+Lv/10) | 84.3% | 107.7% |
| 25〜29 | 52 | 880+88×Lv | 16.92×(1+Lv/10) | 84.6% | 107.3% |
| 30〜33 | 53 | 890+89×Lv | 16.79×(1+Lv/10) | 84.0% | 108.1% |
表は各レベルでの爆風1つについて調べたものです。トータルダメージは爆風が発生から消滅までヒットしつづけた場合の合計ダメージです。平均ダメージはそれをヒットしていたフレーム数で割ったものです。WB効率は85%ぐらいでなかなか効率がよいのですが、目標が動く場合はもっとパーセンテージが高くなり、効率は悪くなります。理由は爆風の消え際の威力が低いことに起因しています。
撃ちこみ点は1フレーム2点。ウエポンボーナス取得までに1800点です。得点効率はBに比べ、やや高いと言ったところでしょうか。
ちなみに、威力が高い爆風の前半部分のみが当たった場合のウエポン効率は100%となり、この場合得点効率は90.8%となりBよりも低くなります。現実的にはBと同じぐらいと考えてもいいでしょう。
AC [バックワイド]
後方攻撃の要です。が、実際にはウエポンボーナスを切らせたくない場合の繋ぎに使ったりとイマイチ使用されません。
基本攻撃力は80。連射速度は10発/秒です。最初は3WAYですが、CのLv8からは5WAY、CのLv24からは7WAYになります。
ウエポンボーナスは2秒以上の間を空けずに200発ヒットさせることで取得できます。2秒間、ヒットしなかった場合カウントがリセットされます。普段は0になっていると思っていいでしょう。
撃ちこみ点は1発10点。200発で2000点となります。威力の高さなどから得点効率は非常に低くなっています。ウエポンボーナスを狙うことはまずないでしょう。5AでコアにあててWBを取るのが現実的な取り方ですが、他ではまずないでしょう。
| 威力 | 80+8×Lv |
| WB効率(対B) | 133.3% |
| 得点効率(対B) | 69.2% |
ABC [レディアントソード]
ピンク弾を消せる高威力のソードです。狭い範囲に攻撃できるので場所によっては非常に重宝しますね。ピンク弾を10個消すとゲージが満タンになり、ハイパーソードを使用できます。
基本攻撃力は100です。ウエポンボーナスは301フレーム攻撃をあてることで取得できます。他の武器を使用するとカウントがリセットされます。同時押しボタンがない場合は押しっぱなしにしておくのが無難でしょう。とはいえ、ソードのウエポンボーナスを狙う理由なんてないのですが。
なお、ソードは回転中には毎フレームヒットしますが、置いている状態では2フレームに1回しかヒットしません。レバーを左右に細かく入力するなどしてソードを振ることによって効率良くダメージを与えることができます。4D戦で安地でソードを振るのが安全でいいかも。
撃ちこみ点は1フレーム3点。301フレームで903点となります。非常に高い威力と非常に低い撃ちこみ点のせいで得点効率は最悪です。高得点を目指すならソードのウエポンボーナスを狙うことはないでしょう。
| 威力 | 100+10×Lv |
| WB効率(対B) | 167.2% |
| 得点効率(対B) | 50.2% |
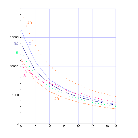
結論
以上の結果をまとめ、横軸に武器のレベル、縦軸にレベルで補正した得点効率(単位:点)をとると、以下の図のようになります。得点効率はレベル間での補正による差が解りやすいように、Lv0のBでウエポンを1回取れるだけの体力の敵相手に何点分、ウエポンボーナス+撃ちこみ点を得られるか計算し、単位を“点”で表しています。

この表から、Lv5のCの効率は、Lv0のA、Lv2のB、Lv9の弱火のABとほぼ同じであるということが解ります。各点がほぼ水平に並んでいることがわかりますね。
今後のパターン開発でポイントになるのは“Aのウエポンをいかにとるか”など、ウエポンの効率について整理することでしょう。なお、この情報はクラポン君の多大なる協力のもと調べることができました。ここに感謝の意を表します。また、シルバーガンをゲーセンでやり込む会発行の“NO REFUGE”を一部参考にさせていただきました。wakaさんには間違いを指摘していただいたり、情報を教えていただいたりしました。厚くお礼申し上げます。